IRGANOX 1010 là gì?
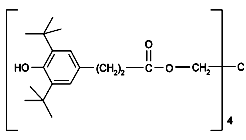
IRGANOX 1010 là chất chống oxy hóa phenolic cao phân tử được sử dụng phổ biến trong ngành nhựa, cao su và vật liệu polymer. Sản phẩm có tên hóa học đầy đủ là Pentaerythritol tetrakis(3-(3,5-di-tert-butyl-4-hydroxyphenyl)propionate), được sản xuất bởi BASF.
Với khả năng ngăn chặn quá trình oxy hóa và lão hóa, IRGANOX 1010 giúp kéo dài tuổi thọ, duy trì tính chất cơ học cũng như ngoại quan của sản phẩm.
Đặc điểm nổi bật của IRGANOX 1010
- Hình dạng: bột màu trắng đến vàng nhạt.
- Đặc tính: không tan trong nước, tan trong dung môi hữu cơ.
- Độ ổn định: chịu nhiệt tốt, ít bay hơi, hiệu quả bền lâu.
- Cơ chế: hoạt động như chất bắt gốc tự do, ngăn chặn chuỗi phản ứng oxy hóa.
Ứng dụng của IRGANOX 1010
Trong ngành nhựa và polymer
- Polypropylene (PP)
- Polyethylene (PE)
- Polyamide (PA, Nylon)
- Polyurethane (PU), PVC, Polyester
- Cao su và elastomer
Trong ngành sơn và keo dán
- Bảo vệ lớp phủ khỏi bạc màu, nứt gãy.
- Nâng cao độ bền sản phẩm khi tiếp xúc môi trường khắc nghiệt.
Trong bao bì thực phẩm
IRGANOX 1010 thường kết hợp với chất chống oxy hóa phosphite (ví dụ IRGAFOS 168) để đảm bảo an toàn và đạt chuẩn FDA cho bao bì tiếp xúc trực tiếp với thực phẩm.
Lợi ích khi sử dụng IRGANOX 1010
- Chống oxy hóa và lão hóa hiệu quả.
- Duy trì màu sắc, độ bóng của nhựa.
- Giúp sản phẩm bền nhiệt, bền cơ học.
- Không gây đổi màu, phù hợp với sản phẩm yêu cầu tính thẩm mỹ cao.
- Tương thích với nhiều loại polymer khác nhau.
Hướng dẫn sử dụng IRGANOX 1010
- Liều lượng: 0.05 – 0.5% tùy thuộc vào loại nhựa và ứng dụng.
- Thường dùng phối hợp với secondary antioxidants để đạt hiệu quả tối ưu.
- Bảo quản nơi khô ráo, thoáng mát, tránh ánh nắng trực tiếp.

Bạn đã thêm vào giỏ hàng 